How to Size a Solar System That Really Works!
By: Brett Cass & Rob Beckers
Figuring out the proper size of a solar system, how many solar panels are needed, is one of the most asked questions we receive. Especially sizing an off-grid system involving a battery bank is considered black magic, even by experienced solar installers! This article will help you determine what you need to get the job done, both for grid-tie and off-grid systems.
Before we get started, a note of caution: The Internet is full of people (and YouTube videos) that claim they are running their whole house off of a little 100 Watt solar panel! Unfortunately reality is usually not that good. Solar photovoltaic power works! In fact, it works very well and very reliably, though even modest energy use can take more solar panels than one would expect. This article will explain where the numbers come from so you will know exactly what it takes!
The first split-in-the-road is grid-tie vs. off-grid. For a grid-tie system there usually is net-metering available, which means that during the sunny summer months we can overproduce and ‘store’ the excess on the grid as a credit, for later use in winter when the solar system falls short. An off-grid system cannot do that of course, it uses batteries to store excess to get us through the night, and it needs to be sized a little different. We will start with a look at grid-tie solar systems.
For a grid-tie solar system we usually want to offset as much of our annual electricity use as possible, but no more than that! Almost every province in Canada has annual net-metering, which allows for ‘banking’ of excess energy production for use within 12 months. This means we can overproduce in summer and use up the excess in winter. Any credits left over after one year, are usually not paid for, but given away to the utility. Unless you are in a charitable mood that is something to avoid. So how much electricity do you use per year?
The easiest way to determine how much energy you use annually is by taking a look at your electricity bills. You simply add up your bills for each month of the past year to get an overall annual Kilo-Watt-hour (kWh) value. Unfortunately you can’t just take one month and multiple by 12, electrical use generally changes quite a bit throughout the year so this number would not be accurate. The average Canadian household uses around 1,000 kWh per month, or about 12,000 kWh per year. Few people are ‘average’ so your numbers may be very different.
If you are confused about Watts (W), kilo-Watt (kW), and kilo-Watt-hour (kWh), it may be worthwhile to have a look at our article “kW vs. kWh – Power vs. Energy”.
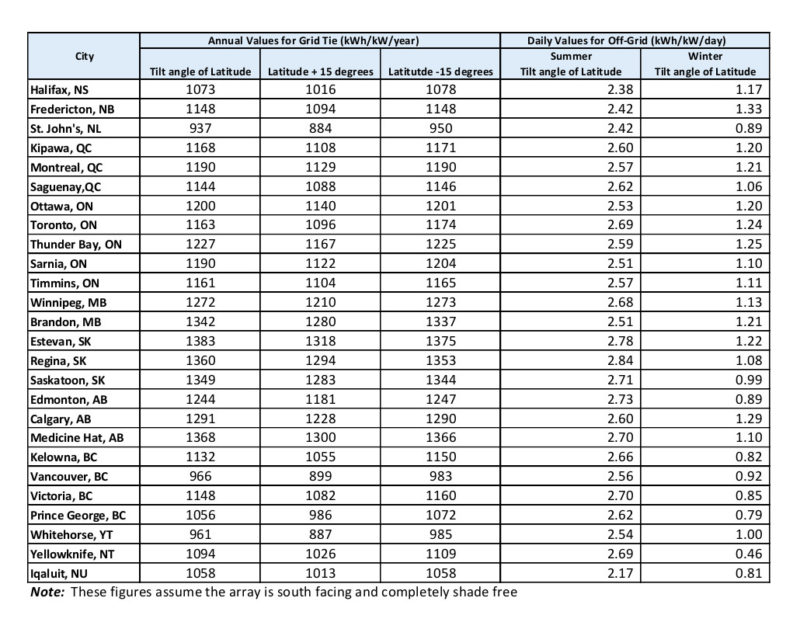
The next step is to convert your annual electricity use into a number of solar panels, or kW of solar, that it will take to generate the amount of energy you want to offset per average year. As the saying goes, the three most important things for this are “location, location, and location”: Solar panels in southern Ontario will produce very differently from solar panels in northern Nunavut. The table below should give you a good idea what to expect for your location:

The first four columns are for use with grid-tie solar systems: The location is on the left. The next column shows how many kWh’s to expect for every kW of solar panels, when those panels are mounted facing south, at a tilt-angle equal to the latitude of the location, and if there is no shading of the panels at all. The two columns to the right of this show annual energy yield in kWh’s for panels mounted at a tilt-angle 15 degrees steeper, and 15 degrees less steep than the latitude. One interesting aspect is that for most locations a tilt-angle that is less steep than the latitude actually does a little bit better annually (for example, for Ottawa the best tilt-angle for annual energy production is actually around 40 degrees, while our latitude is 45 degrees).
The numbers in the table are realistic, though under conditions that few people have. For roof mounted solar PV the orientation is rarely exactly south, nor will the angle be ideal. Most of us have to content with some shading for part of the day as well. Still, the table is a good starting point, and we will explain how to account for less-than-ideal locations in a moment.
Since Solacity is located close to Ottawa, we will use Canada’s capital as an example:
Say you added up all your electrical bills for the past year, and found an annual energy use of 10,500 kWh. The table shows that Ottawa can expect 1,200 kWh in energy production per year for every kW of solar panels. That means, the amount of solar PV works out to:
Solar panels (kW) = Total annual energy use (kWh) / Solar energy per kW of panels
10,500 / 1,200 = 8.75 kW of solar panels
To find out how many solar panels that is we have to divide by the size of each PV module. The solar panels we currently sell are 295 Watt each, and 295 Watt equals 0.295 kW (“kilo” just means thousand). Punching these numbers into our trusty calculator we get:
8.75 / 0.295 = 29.66 solar panels
Since panels cut in half work surprisingly poorly, a good choice here would be to use 30 solar panels of 295 Watt each. That is just about the size of our 10kW Grid-Tie Kit!
The previous section assumed that you can mount solar panels at an ideal location: Perfectly south facing, with a great tilt-angle, and without any shading. What if your roof, or other location, is not quite that good? In most cases we can still accurately figure out what it will take to produce the kWh’s needed. All we need is a little help from the US tax payers!
The US government, and NREL in particular, has created a very handy online tool that can calculate solar PV yield for any place on earth, taking orientation, angle, and even the local weather patterns such as cloud cover into account. It is called PV-Watts and clicking this link should open it up in a separate window. First we enter the location of the solar panels, or “Ottawa” to stick with our previous example. PV-Watts now finds the nearest location that it has weather data for, and displays that. Go to the next screen, and for our example we need to change a few parameters. The “DC system size” is how much solar PV you have, in kW. We want to know what each kW of panels will produce so change this to “1”. The module type of “Standard” should be fine for most, we can also leave “Array type” to the default of “Fixed (open rack)”. The system losses of 14.08% are fine too. For the “Tilt” we will change this to 45 degrees, the latitude of Ottawa, just like our earlier example, and the “Azimuth” is fine at 180 degrees (due south).
Proceeding to the next screen shows the result of the calculations: 1,256 kWh in solar energy per average year per kW of solar PV.
Now, experience has shown that the number of 1,200 kWh from Natural Resources Canada in the earlier table is closer to the truth than PV-Watt’s 1,256 kWh. That does not mean we cannot use PV-Watts, it just means we have to correct the output values a little. In this case:
Correction factor = PV-Watts reported yield per kW of panels / Actual yield per kW of panels
1,200 / 1,256 = 0.955 = 95.5% of what PV-Watts reports
The value in the list, for Ottawa 1,200 kWh per kW per year, is for panels that get enough cooling from the wind so they run relatively cold. If we are going to mount solar panels on a rooftop, such that the panels follow the roof line with a few inches in between, we need to take an additional 3% off to account for the unavoidable heat. Solar panels produce less when they get hot, and rooftop mounted solar panels can easily reach 60 Centigrade!
For our rooftop mounted solar panels, at a 45-degree sloped roof, facing south, that means we can realistically expect:
1,256 x (0.955 – 0.03) = 1,256 x 0.925 = 1,161 kWh per kW of PV per year
It would not be the end of the world if you kept it simple and went directly with the numbers produced by PV-Watts. For some locations they tend to be a bit optimistic, that is all. Now that we know how to correct the PV-Watts output we can calculate energy yield values for any orientation and tilt-angle! Say our roof is facing 205 degrees (south-West) and has a tilt-angle of 30 degrees. What can we expect? PV-Watts says 1,228 kWh per kW per year. In real-world numbers that works out to:
1,228 x 0.925 = 1,135 kWh per kW per year
To use our earlier example, of 30 panels of 295 Watt each, we can realistically expect it to produce:
Energy production = Production per kW of solar panels x Number of solar panels x Size per panel in kW
30 x 0.295 x 1,135 = 10,044 kWh per year
Not quite the 10,500 kWh we were looking for, but close! If we wanted to figure out the number of panels needed for 10,500 kWh per year we do:
10,500 / 1,135 = 9.25 kW of solar PV needed
9.25 / 0.295 = 32 solar panels of 295 Watt each
Inverters for grid-tie solar systems are simply sized to take maximum advantage of the solar output. In practice this means the inverter(s) can be undersized to around 85% of the solar PV array size without much (if any) penalty in energy production. Even for a perfectly south-facing solar array. Solar panels rarely produce rated output, you will see that happen just a few times a year, usually in early spring when it is still very cold outside, with a clear-blue sky, and the sun already high in the sky at noon. The rest of the time solar panels will produce less, much of the time a great deal less, than their rated output.
For solar arrays that are less-than-ideal, it may be possible to undersize the inverter(s) even more, without a penalty in annual energy production. That is something that needs to be evaluated on a case-by-case basis.
It is important to keep in mind that inverters do not need to be the same size as the solar array. This is an area where potentially some money can be saved so there is a better payback period for the solar system, and resources are better utilized.
For our sample solar system of 9.25 kW of peak-power in solar modules this means:
9.25 x 0.85 = 7.9 kW inverter size is sufficient
Fronius makes a nice 8.2 kW string inverter, that is the next size up, and it would be a great choice for this system!
We rarely have the ideal location for solar panels; steep slopes, perfectly south facing, no shading, no snow in winter etc. The previous section showed how to calculate solar energy yield for locations across the world, and for all different orientations (azimuth) and tilt-angles. What it did not explain yet is how to deal with snow cover in winter, and shading. Unless you have a death-wish and plan to climb on the roof in winter to sweep the snow off the panels, snow cover is something we need to take into account for almost all locations in Canada!
First, let us take a step back and think for a moment about those annual energy yield numbers we have been calculating. In actual life every year will see a different amount of sunshine, and those numbers are an approximation, an average. They are not accurate to three decimal places, what they are is a pretty good idea of what to expect from solar PV for your particular location and case. The way we deal with snow cover should be seen in that light. We are just trying to improve our estimate, and get a better approximation:
For panels that are mounted at a tilt-angle of 40 degrees or more we expect snow to slide off pretty well in winter, and no correction is needed.
For panels that are mounted at a tilt-angle of 30 degrees or less we expect them to be covered in snow for part of the winter. So how do we account for that?
What we propose is a very simple mechanism: The output of PV-Watts shows a column with “AC energy”. If snow cover is expected just take off half the expected energy output for December, and all of the energy output for January. In practice this turns out to work surprisingly well, at least for our area (your mileage may differ). To get back to our earlier example for Ottawa, with panels facing 205 degrees, at a tilt-angle of 30 degrees, the PV-Watts output shows 55 kWh for December and 67 kWh for January. That makes our corrected annual output:
Corrected energy yield with snow cover = PV-Watts estimated yield – Half the December yield – January yield
1,228 – 67 – 0.5 x 55 = 1,133 kWh per kW per year
We still need to correct for the real value for our location and the fact that the panels will be on a rooftop, the same factor or 92.5%:
1,133 x 0.925 = 1,050 kWh per kW of solar PV per year
And there you have it, the final, snow-corrected number. This makes for a solid, if somewhat conservative, estimate for what to expect from solar PV in Ottawa, for a rooftop facing 205 degrees, with a 30-degree pitch.
What should we do for tilt-angles between 30 and 40 degrees? That is up to you. You can use a partial correction, or just leave it as-is. For most places in Canada the time that snow potentially covers the panels tends to coincide with very low levels of sunshine intensity. There is not much to be had (or lose), so the error that is made by accounting for snow or not is limited, and you would not be all that far off if you did nothing.
The last serious source for losses is shading, and shading can have a very profound effect indeed! Shading is poison to solar panels! Even a little shade can very quickly make the output of a solar panel go to zero (as in 0 Watt!). Unfortunately the effect is highly non-linear and near impossible to predict without taking multiple roof measurements with a tool such as a SolarMetric SunEye Shading Analysis Tool. For minor shading we propose you take off a percentage you feel appropriate, for serious shading we suggest you contemplate not installing solar panels in that location at all. In general, as long as your panels can expect full sun exposure between 8am through 4pm mid-summer, and 10am through 2pm mid-winter no correction is needed.
The effects of shading go beyond just the shaded solar panel. If you have multiple strings of solar panels connected in parallel, into an inverter, then a shaded panel can affect the unshaded string(s) as well. We can help you analyze and predict that. One misconception should be mentioned: Micro-inverters generally do not do any better than a string-inverter when it comes to shaded solar panels! Usually a string-inverter can do just as well (and for a lot less money!), as long as some care is taken on how strings are put together and connected to that inverter.
Designing an off-grid system is somewhat between science and art, and unfortunately even experienced installers often get it wrong. Where a little error makes little difference for a grid-tie system, in case of an off-grid it means the lights go out! Over the years we have designed hundreds of off-grid systems, and in fact for many years we used to install them as well. In this section we will go over the proper sizing of an off-grid system: We will explain how to calculate the number of solar panels needed, how the inverter should be sized, and how to select the battery bank.
An off-grid system needs to produce as much energy as is being used, with a battery bank to get you through the nights and dark days without sun (or wind). You can only get this right if you know how much energy is needed, for summer and for winter days. The better the energy estimate, the better the off-grid system will function (or if you live off a trust-fund and money is no object, just oversize it greatly and live happily ever after!). Making an estimate of the energy that is needed per day involves making a list of all the appliances and other loads that are going to be used. A good way to do this is to go room by room, and list everything that uses electricity.
To make this a little bit easier we have created a spreadsheet that already has many appliances pre-defined.
Just fill in the number of items for each appliance in the “Amount” column, and adjust the number of hours per day, and days per week, as needed. All the purple numbers can potentially be changed, though many of them are already set at reasonable values (such as those for the fridge and freezer sections, just fill in the number of each and leave the rest). The well-pump is special; go to the bottom of the sheet, put “1” in the “Amount” column if you have a well-pump, and fill out the well depth and flow rate, that should be all that is needed. If you have items that are not listed just adjust an unused line (or copy a line and modify as needed). The end-result is a number for both summer and winter of the energy use per day in kWh.
If you cannot use the spreadsheet, it is entirely possible to do the same “by hand”. Just make a list of appliances, their Wattage, and how many hours per average day they are used in summer and winter. The energy use for each appliance is found by simply multiplying Wattage by the number of hours per day. The result will be in Watt-hours (Wh), divide by 1000 to get kWh’s. Here is an example:
| Appliance | Quantity | Watt | hours | Wh/day |
| LED lights | 6 x | 8 x | 3.0 | 144 |
| Refrigerator | 1 x | 500 x | 2.1 | 1,050 |
| TV | 1 x | 80 x | 4.0 | 320 |
| Inverter | 1 x | 15 x | 24 | 360 |
|
=1,874 Wh/day |
It may be a surprise to see the inverter listed as a load as well. Inverters use power (and by extension energy), even if there is nothing connected to them. In fact, for a small system the inverter can be a large part of the overall energy requirements. The small example above shows just a single number for the overall energy use; we would normally split up summer and winter use, since loads can be very different between those seasons. In winter there often is a blower motor or other heating-related load, and lights will be on longer. Because it is harder to produce energy in winter vs. summer with solar PV it is important to predict the winter energy use accurately.
Now that we know how much energy is needed, we need to find out how many solar panels are required. We need to produce at least as much energy per average day as is being used, otherwise the batteries will slowly but surely empty out.
To find out how much energy a kW of solar panels will produce in summer and winter we can once again use the table that was shown earlier in this article. The last two columns show off-grid energy production for panels mounted at an angle equal to the latitude, facing south. Those numbers are in fact accurate, and they give a good idea of what to expect, but we can do better. By using PV-Watts!
Generating solar energy is hardest in winter, and unless we need massively more energy in summer it is usually the winter number that matters most. For this example, we assume we need 1.9 kWh/day in mid-winter, for Ottawa, with panels that are going to be mounted at a 60-degree tilt-angle (so they shed snow well), facing due south. If we enter those conditions in PV-Watts we get a column on the results page that says “Solar Radiation (kWh/m^2/day)”, that is the one we need for off-grid energy predictions, this number is also known as “insolation” or “sun-hours”. For winter, look for the month with the least energy per day, in our Ottawa case that would be December with 2.71 kWh/m^2/day. This number is almost what we need to predict how much 1 kW of solar PV will produce in December, what is missing is how much of this sun we are able to turn into energy, the conversion efficiency:
Multiply the number of sun-hours by a conversion efficiency of 0.49 or 49%
That factor takes care of including the panel efficiency in producing power, the charge-controller efficiency for an MPPT-type controller (almost always used these days as opposed to the less-efficient PWM-type controllers), the charge-efficiency into lead-acid batteries, and the inverter-efficiency for converting it into AC.
For our example that works out as follows. For each kW of solar panels, we can expect:
2.71 x 0.49 = 1.33 kWh of energy per kW, per average day in December, for panels mounted at 60-degree tilt-angle facing south
Please keep in mind this is for our Ottawa location. Your location may be very different! This number also assumes you keep those panels snow-free; an absolute requirement for producing any energy in winter for an off-grid system! Compare this number to that for Ottawa in the table earlier in this article, it lists 1.2 kWh per kW for panels mounted at 45 degrees. That number is correct as well, you can check it with PV-Watts for a 45-degree tilt-angle in December.
For the summer months we have to be somewhat careful. While June and July may be great solar months, it is better to use one of the shoulder months in spring or fall for sizing purposed. In our area May is a good month. For panels mounted at a 30-degree angle in May PV-Watts shows 5.70 sun-hours. That works out to:
5.7 x 0.49 = 2.79 kWh per kW, per average day in May, at 30-degree tilt-angle facing south
This shows how the same panels in summer will produce just about twice as much energy per average day than they will in winter. Now, to get back to our example, how much solar PV do we need to produce 1.9 kWh/day in winter?
1.9 / 1.33 = 1.43 kW of solar PV
That is what we need to keep the lights on in December (and the rest of the winter). For our 295 Watt PV modules this works out to:
1.43 / 0.295 = 4.9 = 5 panels of 295 Watt each
We could do the same calculation for the summer months, but our 5 panels will easily meet demand, as they will produce around 5 x 0.295 x 2.79 = 4.11 kWh per average day from spring through fall. So we will have energy coming out of our ears in summer, by sizing for our winter demand.
That takes care of sizing the solar panels. Now we need to know what battery bank size is needed. That is next!
The sun does not shine at night, and many days will be overcast with little sun. During those times the batteries need to make up for the shortfall from our solar panels and provide the energy needed. Standard off-grid sizing calls for 3 days of autonomy, meaning no energy is coming in from solar panels or other sources, and at the end of those 3 days the batteries will be down to 50% State-Of-Charge (SOC). In practice this actually works out to more than 3 days of storage, since even on overcast days solar panels produce power, and in a pinch we can drain lead-acid batteries all the down to 20% SOC without doing damage. Standard sizing is a reasonable balance between (expensive) batteries and the frequency that we need to make up for shortfalls with a generator. There will still be times in winter when a battery bank sized like this will fall short, so a generator is generally still needed to bridge those gaps.
Next we need to figure out what size our battery bank needs to be! We will use the same example as before, with an energy need of 1.9 kWh per day in winter. To get to the total energy needed in battery storage we need to multiple that by the number of days (of energy storage) and divide by one minus the battery SOC we are willing to go down to (keeping in mind that standard sizing calls for 3 days and an SOC of 50%):
Battery bank size (kWh) = Daily energy use (kWh) x Number of days of autonomy / (1 – SOC)
Battery bank size = 1.9 x 3 / (1 – 0.5) = 11.4 kWh
This number, 11.4 kWh, is the amount of energy our battery bank needs to hold in total, when fully charged. For batteries it is more convenient to work with Amp-hours, a somewhat fictive number of the Amps we can draw out of the batteries for one hour before they are are empty. Amp-hours (Ah) is relative to the battery bank Voltage. For this case we assume a 24 Volt battery bank:
Amp-hours = 1000 x Energy storage (kWh) / Battery Voltage (Volt)
Amp-hours = 1000 x 11.4 / 24 = 475 Ah at 24 Volt
When we connect single batteries in series (positive to negative etc.) we increase the Voltage of the battery bank, while the Amp-hours stays the same. Likewise, when we connect batteries in parallel the Voltage stays the same, while the Amp-hours doubles. In this case we could build this battery bank out of four Surrette S-550 batteries, each 6 Volt 428Ah. Connecting them in series makes for a total battery bank of 24 Volt 428 Ah, close enough for our purpose!
The overall off-grid system we designed so far in our example above worked out to 5 solar panels of 295 Watt each, and 4 Surrette S-550 batteries. That is in fact very close to our 4-panel cottage kit!
Most off-grid systems need 120 Volt AC, and sometimes 240 Volt AC split-phase, to run the various appliances and loads around the house or cottage. That involves an inverter. An inverter turns (inverts) DC from the battery bank into AC to feed to our appliances.
Off-grid inverter sizing is pretty straight-forward: We need to have a good look at all the loads and figure out what the maximum Wattage is that the inverter needs to provide at any given moment in time. This means sizing for those appliances that realistically can be switched on at the same time, including those we have no control over (such as a fridge or freezer, where the thermostat switches the compressor on and off at random moments). There is no hard & fast rule for this, it really comes down to what we believe to be reasonable. For a small off-grid system it is reasonable to expect that the home owners do not switch on the microwave, hair-dryer, coffee maker, and bread toaster all at the same time (each of these is around 1,200 Watt). Instead, it’s reasonable to expect all those large loads to take turns, or possibly size for two simultaneous ones (such as a microwave and coffee maker).
For our example the largest load is the refrigerator, at 500 Watt, and it can switch on any time. We have no control over it. The rest of the loads are very small. That means a small inverter would have no trouble running this, for example a 1000 Watt one could do quite nicely.
Some loads have large startup currents that need to be taken into account. Typically motors, compressors, and pumps can require 3 to 5 times as much current (Wattage) to get started vs. what they need while running. Inverter spec sheets show how much the inverter can supply continuously, and for short periods. Typically even the cheaper inverters will supply at least twice their rated (continuous) output for a short time. For our example, the 500 Watt fridge likely needs around 1,500 Watt for an instant to get started, something a 1,000 Watt inverter should have no trouble with.
That concludes our write-up on system sizing. Hopefully this will help with your next system! There is of course more to sizing a system, in particular for an off-grid system, than we presented here: There is string sizing for solar panels, battery bank stringing and wiring, meeting code-compliance if needed, switch-gear and balance-of-system items etc. We are here to help, feel free to contact us, and we will do our best to put together the right grid-tie or off-grid system that meets your needs!







